Số Duyệt:3245 CỦA:Ruqinba đăng: 2025-09-26 Nguồn:Site
Các chất hoạt động bề mặt không ion đề cập đến các chất hoạt động bề mặt không ion hóa trong dung dịch nước. Các nhóm ưa nước của chúng chủ yếu bao gồm các nhóm chứa oxy (thường là các nhóm ether và hydroxyl). Phần lipophilic của phân tử có nguồn gốc từ rượu béo cao hơn, alkylphenol, axit béo, amin béo và dầu, trong khi độ hòa tan trong nước đến từ các nhóm ether polyoxyetylen và các nhóm hydroxyl cuối cùng trong phân tử.
Bởi vì các chất hoạt động bề mặt không ion không ion hóa trong nước, chúng thể hiện một số lợi thế so với các chất hoạt động bề mặt ion. Ví dụ, chúng có độ hòa tan tốt trong cả dung môi nước và hữu cơ, cho thấy độ ổn định cao trong dung dịch và ít bị ảnh hưởng bởi các chất điện giải mạnh, muối vô cơ, axit và bazơ. Chúng cũng tương thích cao với các loại chất hoạt động bề mặt khác, làm cho chúng rất phù hợp để pha trộn và công thức.
Hầu hết các chất hoạt động bề mặt không ion tồn tại ở dạng lỏng hoặc dán, và độ hòa tan của chúng trong nước giảm khi nhiệt độ tăng. Chúng có một loạt các tính chất chức năng, bao gồm chất tẩy rửa tuyệt vời, phân tán, nhũ hóa, tạo bọt, làm ướt, hòa tan, hiệu suất chống tĩnh điện, san lấp, ức chế ăn mòn, khử trùng và tác dụng keo bảo vệ. Kết quả là, chúng được sử dụng rộng rãi trong hàng dệt may, làm giấy, thực phẩm, nhựa, da, lông, thủy tinh, dầu mỏ, sợi hóa học, dược phẩm, thuốc trừ sâu, lớp phủ, thuốc nhuộm, phân bón, phim, chụp ảnh, chế biến kim loại, chế biến khoáng chất.
Đây là những hợp chất polyether thu được bằng cách ngưng tụ oxide ethylene với rượu béo chuỗi dài, alkylphenol hoặc este polyol axit béo cao hơn.
Nguyên liệu thô đại diện:
Ether polyoxyetylen rượu béo
Ether alkylphenol polyoxyetylen
Ether polyoxyetylen axit béo polyol
Axit béo este methyl ethoxylates
Ether polyoxyetylen rượu béo (AEO), còn được gọi là ete rượu béo polyoxyetylen, là loại chất hoạt động bề mặt không ion phát triển nhanh nhất và được sử dụng rộng rãi nhất. Lớp chất hoạt động bề mặt này được hình thành bởi sự ngưng tụ của polyetylen glycol (PEG) với rượu béo và có thể được biểu thị bằng công thức chung:
Ro (ch ₂ ch ₂ o) ₙ h
trong đó n là mức độ trùng hợp. Các giống khác nhau tồn tại tùy thuộc vào mức độ trùng hợp của PEG và loại rượu béo được sử dụng.
Về mặt thương mại, chúng được bán dưới tên thương mại như Brij . Ví dụ, BRIJ 30 và các sản phẩm BRIJ khác thu được bằng cách ngưng tụ số lượng đơn vị oxit ethylene khác nhau với rượu Lauryl và chúng thường được sử dụng làm chất nhũ hóa loại O/W.
Ví dụ:
Ceteareth-10 (tên Inci)
Bí danh: AEO-10
Tên hóa học: cetearyl rượu polyoxyetylen ether-10
Ngoại hình: Sáp trắng
Độ hòa tan: không hòa tan trong nước
Giá trị HLB: 12.9
Công thức cấu trúc: n = 10

Còn được gọi là TX hoặc OP , alkylphenol polyoxyetylen ether -n cho thấy độ hòa tan trong nước tốt khi N lớn hơn 8. Ether alkylphenol polyoxyetylen (APEOS) là một loại chất hoạt động bề mặt không ion polyoxyylen. Chúng được đặc trưng bởi các đặc tính ổn định, khả năng kháng axit và kiềm, và chi phí tương đối thấp.
APEO được sử dụng rộng rãi trong sản xuất các chất tẩy rửa hiệu suất cao và từ lâu đã là một trong những nguyên liệu thô được sử dụng phổ biến nhất cho các phụ trợ dệt may. Chúng thường được thêm vào chất tẩy rửa, chất quét, dầu quay, chất làm mềm, dầu chế biến len và chất làm sạch kim loại.
Ví dụ:
Nonoxynol-10 (tên Inci)
Bí danh: TX-10, Nonylphenol Polyoxyetylen (10) Ether
Ngoại hình: Chất lỏng trong suốt
Tính chất: Làm ướt tuyệt vời, nhũ hóa, phân tán, hòa tan, tạo bọt, khử chất và chức năng chất tẩy rửa
Giá trị HLB: 13.3
Công thức cấu trúc :

Một đại diện điển hình của thể loại này là polyoxyetylen sorbitan este (Tween) , còn được gọi là polysorbates . Chúng là các sản phẩm ngưng tụ của sorbitan (span) và ethylene oxide. Do sự hiện diện của nhiều nhóm polyoxyetylen ưa nước trong phân tử, các chất hoạt động bề mặt này thể hiện tính ưa nước mạnh. Các loại phổ biến bao gồm T-20, T-21, T-40, T-60, T-61, T-65, T-80, T-81 và T-85.
Ví dụ:
Polysorbate 20 (tên Inci)
Bí danh: T-20, Tween 20, Polyoxyetylen (20) Sorbitan Monolaurate
Ngoại hình: Chất lỏng màu vàng nhạt đến vàng ở nhiệt độ phòng
Mùi: Mùi đặc trưng nhẹ
Độ hòa tan: hòa tan trong nước, ethanol, metanol và ethyl acetate; không hòa tan trong dầu khoáng và dầu mỏ dầu
Chức năng: chất nhũ hóa, phân tán, hòa tan
Công thức cấu trúc :

Axit béo ester ethoxylates (FMEE) được sản xuất bằng phản ứng bổ sung của este methyl axit béo với ethylene oxide trong điều kiện xúc tác. So với ete polyoxyetylen axit béo, nhóm este trong FMEE ổn định hơn, đặc biệt cho thấy khả năng kháng axit và kiềm được cải thiện đáng kể.
Nguyên liệu thô, este methyl axit béo, bản thân nó là một loại tác nhân khử trùng. Sau khi ethoxyl hóa, FMEE vẫn giữ được các đặc điểm cảm ứng thấp trong khi cung cấp hiệu suất nâng cao. FMEE chủ yếu được sử dụng như một chất tẩy rửa hiệu quả cao , có tính năng:
Tạo bọt thấp
Điểm đám mây cao
Khả năng làm sạch tuyệt vời
Tính chất phân tán nổi bật
Khả năng phân tán mạnh mẽ của nó đặc biệt quan trọng trong các ứng dụng công nghiệp. Với xu hướng liên tục đối với các tỷ lệ tắm nhỏ hơn trong các hoạt động xử lý, FMEE ngăn chặn bụi bẩn trong giải pháp làm việc khỏi kết tụ thành các cụm và tránh đặt lại lại vào thiết bị hoặc vật liệu được xử lý.
Công thức cấu trúc :

Các thành phần chính có thể được biểu diễn dưới dạng RCON (CH ₂ CH ₂ OH) . Chúng ổn định trong cả điều kiện axit và kiềm, với tính chất làm ướt và nhũ hóa mạnh. Khi được kết hợp vào xà phòng, chúng có thể tăng cường khả năng tạo bọt, chất tẩy rửa và khả năng chống lại nước cứng. Alkanolamid được sản xuất bởi sự ngưng tụ axit béo với monoethanolamine (MEA) hoặc diethanolamine (DEA). Các nhóm ưa nước của chúng là các nhóm amide và hydroxyl, trong khi nhóm kỵ nước là alkyl chuỗi dài. Là một loại chất hoạt động bề mặt không ion, chúng có thể hoạt động như chất tẩy rửa, chất làm ướt và chất nhũ hóa.
Trong mỹ phẩm, sử dụng chính của họ bao gồm đóng vai trò là chất làm dày và chất ổn định bọt.
Ví dụ:
Cocamide Dea (tên Inci)
Bí danh: axit béo dừa diethanolamide, 6501, cocamide diethanolamine
Ngoại hình: Chất lỏng không màu
Độ hòa tan: hòa tan trong nước
Tính chất: tạo bọt tuyệt vời, ổn định bọt và tác dụng chống tĩnh điện
Theo Thông số kỹ thuật kỹ thuật an toàn mỹ phẩm (Phiên bản 2015) tại Trung Quốc, Cocamide Dea là một chất bị hạn chế với các yêu cầu chất lượng cụ thể:
Nó không được sử dụng cùng với các hệ thống nitrosating, để tránh sự hình thành nitrosamine.
Nội dung amin thứ cấp tối đa trong sản phẩm: 0,5%
Hàm lượng nitrosamine tối đa trong sản phẩm: 50 Phag/kg
Hàm lượng amin thứ cấp tối đa trong nguyên liệu thô: 5%
Phải được lưu trữ trong các thùng chứa không có nitrit.
Công cấu trúc :thức

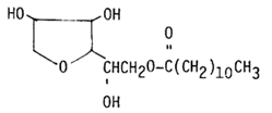
Các este axit béo polyol có được bằng cách ester hóa polyol với axit béo. Phần kỵ nước xuất phát từ chuỗi carbon dài của axit béo, trong khi phần ưa nước đến từ các nhóm hydroxyl không khớp. Danh mục này bao gồm este axit béo glycerol và este sorbitan.
Các este axit béo glycerol được hình thành bởi phản ứng của glycerol với axit béo. Các loại hoạt động như các chất hoạt động bề mặt chủ yếu là các chất đơn nhân và diesters , chủ yếu được sử dụng làm chất nhũ hóa. Nói chung, một hỗn hợp của các đơn vị và diesters có thể được sử dụng, nhưng các sản phẩm có hàm lượng monoester khoảng 90% cũng có thể thu được thông qua chưng cất và tinh chế.
Các axit béo được sử dụng bao gồm axit stearic, axit palmitic, axit myristic, axit oleic và axit linoleic. Trong hầu hết các trường hợp, axit béo hỗn hợp với axit stearic là thành phần chính được sử dụng.
Ví dụ:
Glyceryl Stearate (tên Inci)
Bí danh: Glyceryl Monostearate, Glyceryl Stearic Acid Ester
Ngoại hình: Vảy trắng
Độ hòa tan: không hòa tan trong nước
Chức năng: Được sử dụng chủ yếu như một chất nhũ hóa, đồng phát hóa và làm mềm
Công thức cấu trúc :

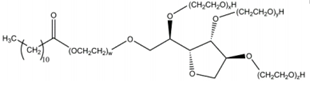
Còn được gọi là este axit béo sorbitan , , hoặc este axit béo anhydrosorbitol , các hợp chất này được sản xuất bằng cách ester hóa sorbitan (sorbitol mất nước) với các axit béo khác nhau. Sê -ri Span thể hiện độ hòa tan rất thấp trong nước và do đó được phân loại là chất hoạt động bề mặt lipophilic.
Trong các công thức, chúng thường được sử dụng kết hợp với các chất hoạt động bề mặt tween (polysorbate). Sê-ri SPAN bao gồm S-20, S-40, S-60, S-65, S-80 và S-85. Chúng có sẵn trong một loạt các lớp thương mại, với các quy trình sản xuất được thiết lập tốt. Những vật liệu này thể hiện tính chất nhũ hóa và khả năng tương thích với các loại chất hoạt động bề mặt khác.
Các nhịp được áp dụng rộng rãi trong các ngành công nghiệp thực phẩm, dược phẩm, mỹ phẩm và dệt , chủ yếu là các hợp chất hòa tan trong dầu, chất lỏng hoặc sáp. Chúng đặc biệt thích hợp như chất nhũ hóa nước (w/o).
Ví dụ:
Sorbitan Lairal (tên Inci)
Bí danh: S-20, Span 20, Sorbitan Monolaurate, anhydrosorbitol Monolaurate
Chức năng: W/O nhũ hóa, chất ổn định, phân tán
Công thức cấu trúc :
TÔI,

Ii 、

Iii 、

Ester Sucrose đề cập đến este axit béo sucrose. Sucrose (C₁₂H₂₂O₁₁) là một sản phẩm ngưng tụ của một phân tử glucose và một phân tử fructose. Vì sucrose chứa nhiều nhóm hydroxyl miễn phí, nó có độ hòa tan trong nước tốt và có thể trải qua quá trình ester hóa với các axit béo cao hơn.
Các este sucrose dễ dàng phân hủy sinh học, có thể hấp thụ bởi cơ thể con người, không độc hại và không gây kích thích cho da . Do các tính chất này, chúng được sử dụng rộng rãi làm chất nhũ hóa và phụ gia trong thực phẩm và mỹ phẩm. Họ cũng có thể phục vụ như các thành phần trong công thức .
cấu trúc có lớp phủ thấp

Các oxit alkylamine dễ hòa tan trong nước và dung môi hữu cơ cực. Chúng được phân loại là các chất hoạt động bề mặt lưỡng tính cation yếu : trong dung dịch nước, chúng hoạt động như cation trong điều kiện axit, và là không ion trong điều kiện kiềm.
Chúng có sự dày lên tuyệt vời, chống tĩnh điện, làm mềm, tạo bọt, ổn định bọt và chất tẩy rửa . Ngoài ra, họ thể hiện hoạt động diệt khuẩn, khả năng phân tán xà phòng canxi và khả năng phân hủy sinh học tốt , khiến chúng làm cho các chất hoạt động bề mặt thân thiện với môi trường được sử dụng rộng rãi trong các sản phẩm chăm sóc cá nhân và hộ gia đình.
Trong các công thức thẩm mỹ, các oxit alkylamine cũng có thể đóng vai trò là chất làm dày và chất ổn định bọt.
Ví dụ:
Lauramine Oxide (tên Inci)
Bí danh: oxit dodecyldimethylamine, dầu xả OB-2, OA-12
Ngoại hình: Chất lỏng trong suốt không màu đến màu vàng nhạt
Độ hòa tan: hòa tan trong nước
N-alkylpyrrolidones thể hiện các đặc tính tương tự như oxit alkylamine. Về mặt cấu trúc, chúng được phân loại là chất hoạt động bề mặt không ion , nhưng trong môi trường axit, phân tử trải qua quá trình proton, tạo ra một nhóm cation và do đó cho thấy hành vi cation yếu.
Chúng được sử dụng trong các sản phẩm chăm sóc tóc làm chất làm đặc, chất ổn định bọt và chất điều hòa , và cũng có thể hoạt động như chất hòa tan cho nước hoa và các thành phần khác.
Ví dụ:
Lauryl Pyrrolidone (tên Inci)
Bí danh: N-Laurylpyrrolidone
nội dung không có gì!
ĐĂNG KÝ BẢN TIN