Số Duyệt:24563 CỦA:trang web biên tập đăng: 2025-09-16 Nguồn:Site
Trong ngành sơn hiệu suất cao, lớp phủ polyaspartic —còn được gọi là Polyaspartic Polyurea —đã nổi lên như một công nghệ thay đổi cuộc chơi. Các hệ thống này thường bao gồm hai thành phần (A và B). Trong khi tồn tại các phiên bản một thành phần, tiêu chuẩn vàng công nghiệp vẫn là hệ thống hai thành phần để có độ bền tối đa.

Trong hệ thống này, Thành phần A là Nhựa Polyaspartic (có tên hóa học là Ester Polyaspartic ) và Thành phần B là Chất đóng rắn Isocyanate.
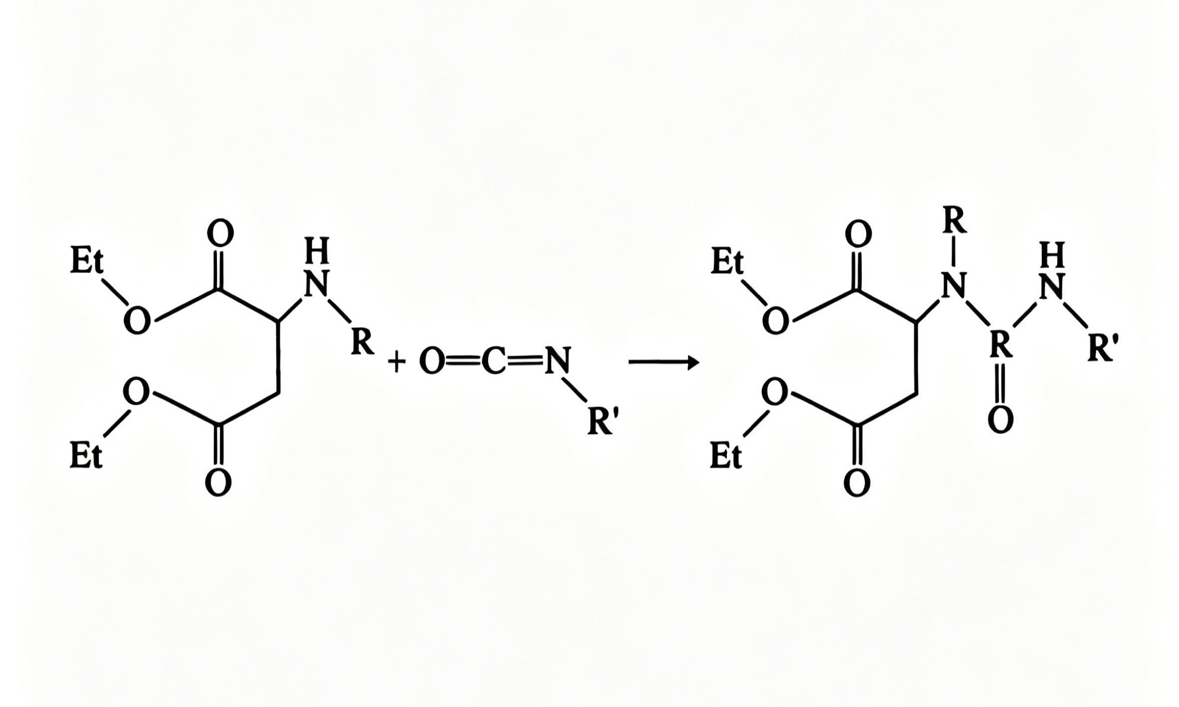
Nhựa polyaspartic có chức năng như một chất mở rộng chuỗi amin thứ cấp béo. Nó được tổng hợp thông qua phản ứng cộng Michael giữa dialkyl maleate và diamine chính béo. Quá trình này biến đổi các amin bậc một thành các amin bậc hai.
Khả năng phản ứng của amin bậc hai thấp hơn đáng kể so với amin bậc một. Trong phân tử este polyaspartic, hai nhóm amin thứ cấp được bảo vệ bởi môi trường 'giống như vương miện' có lực cản không gian và hiệu ứng cảm ứng điện tử.
Những yếu tố này làm giảm đáng kể tốc độ phản ứng giữa nhựa polyaspartic và nhóm –NCO trong thành phần isocyanate. Phản ứng được kiểm soát này là bí quyết để mang lại 'tuổi thọ trong chậu' khả thi, cho phép thi công thủ công bằng cọ hoặc con lăn—một điều không thể thực hiện được với polyurea phun đông kết nhanh truyền thống.

Tổng hợp este polyaspartic thông qua bổ sung Michael
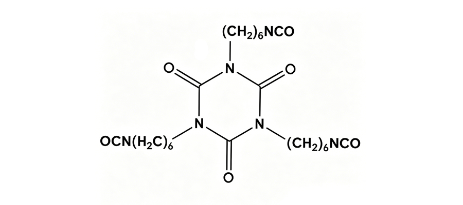
Để đạt được kết quả hiệu suất cao, hệ thống polyaspartic sử dụng các chất đóng rắn như HDI Trimers , IPDI hoặc prepolyme HMDI . Dòng HDI Trimer đặc biệt có giá trị nhờ tính chất béo và cấu trúc vòng isocyanurate ổn định, mang lại:
Khả năng chống chịu thời tiết và tia cực tím vượt trội: Màng được xử lý có khả năng chống ố vàng lâu dài và duy trì độ bóng cao ngay cả dưới bức xạ mặt trời khắc nghiệt.
Rào cản vật lý vượt trội: Nó cung cấp khả năng chống lại hóa chất và dung môi tuyệt vời, che chắn hiệu quả các chất nền khỏi môi trường công nghiệp hung hãn.
Chất lượng thẩm mỹ: Với độ trong suốt cao và giá trị màu thấp, tông đơ HDI là thành phần cốt lõi lý tưởng để tạo ra lớp sơn phủ trong suốt và lớp phủ ngoài có độ bóng cao.

Cấu trúc hóa học của Trimer HDI
Khi đánh giá lớp phủ cho một dự án, điều cần thiết là phải so sánh các chỉ số kỹ thuật của lớp phủ polyaspartic với các giải pháp truyền thống :
| Tính năng | Polyaspartic Polyurea(Lớp phủ Polyaspartic) | Polyurethane công nghiệp (PU) | Phun Polyurea (Tiêu Chuẩn) |
| Nội dung chất rắn | 70% - 100% (VOC cực thấp) | 45% - 70% (VOC cao) | 100% (Không VOC) |
| Chữa bệnh / Tuổi thọ của chậu | Có thể điều chỉnh: thời gian sử dụng 30 phút - 2h; chữa bệnh nhanh chóng. | Chậm; thời gian sống > 4h; thời gian chữa bệnh > 24h. | Tức thì: Tạo gel trong < 30 giây; yêu cầu máy móc cao cấp. |
| Độ bám dính | Xuất sắc: Trực tiếp tới kim loại (DTM); Thép >12 MPa. | Vừa phải; yêu cầu sơn lót đặc hiệu cho hầu hết các bề mặt. | Biến; dễ bị tách lớp nếu bề mặt không được chuẩn bị hoàn hảo. |
| Chống tia cực tím | Extreme: QUV-A 4000h+ (Không ố vàng, ổn định màu). | Vừa phải; phai màu/phấn sau 1000h - 1500h. | Kém: Hầu hết đều thơm; màu vàng và phấn trong vòng vài tuần. |
| Xây dựng hiệu quả | Lớp dày: 150-500μm trong 1 lớp; sẵn sàng để sử dụng trong 4-6h. | Cấu trúc thấp: 50-100μm; cần nhiều lớp/ngày. | Độ dày cao: 1mm+; nhưng bề mặt thường có kết cấu 'vỏ cam'. |
| Cạnh cơ khí | Độ cứng bề mặt (2H) & Khả năng chống mài mòn. | Tính linh hoạt, nhưng dễ bị trầy xước. | Độ giãn dài và độ bền xé; nhưng độ cứng thấp hơn. |
Không ố vàng: Độ ổn định tia cực tím bền khi tiếp xúc ngoài trời.
Không nhạy cảm với độ ẩm: Có thể thi công trong môi trường ẩm ướt mà không bị sủi bọt.
Độ ổn định màu sắc: Khả năng giữ sắc tố tuyệt vời theo thời gian.
Bảo dưỡng nhanh: Rút ngắn đáng kể chu kỳ xây dựng.
Ứng dụng ở nhiệt độ thấp: Duy trì hiệu suất xử lý ở vùng khí hậu lạnh.
Độ bám dính cao: Độ bền liên kết mạnh mẽ đảm bảo tính toàn vẹn của hệ thống.
Thân thiện với môi trường: Ít mùi và VOC thấp để sử dụng trong nhà và công cộng.
Bảo vệ toàn diện: Chống thấm nước, chống ẩm và chống nấm mốc.
Bề mặt liền mạch: Loại bỏ các góc chết hợp vệ sinh nơi bụi bẩn tích tụ.
Bảo trì dễ dàng: Bề mặt dễ dàng làm sạch và chà rửa bằng các chất tiêu chuẩn.
Lớp hoàn thiện giống như gốm: Tính thẩm mỹ có độ bóng cao với cảm giác cao cấp.
Độ dẻo dai cực cao: Độ giãn dài cao để thích ứng với biến dạng bề mặt.
Mặc dù có hiệu suất vượt trội nhưng người mua kỹ thuật nên cân nhắc:
Chi phí ban đầu cao hơn: Do nguyên liệu thô béo chất lượng cao nên đơn giá cao hơn epoxy hoặc PU tiêu chuẩn. Tuy nhiên, Phân tích chi phí vòng đời (LCCA) thường thấp hơn do giảm thời gian ngừng hoạt động và bảo trì.
Yêu cầu ứng dụng chuyên nghiệp: Tốc độ xử lý nhanh hơn so với epoxy đòi hỏi đội ngũ lành nghề để đảm bảo trộn và san phẳng thích hợp.

Dù là để chống thấm tường bên ngoài, bảo vệ cầu hay sàn công nghiệp, công nghệ polyaspartic đều mang lại hiệu quả hoạt động 'tất cả trong một'.
Nếu bạn quan tâm đến các đặc tính hóa học hoặc ứng dụng cụ thể của nhựa polyaspartic của chúng tôi , vui lòng khám phá trang web chuyên dụng của chúng tôi tại rqbpolyaspartic.com.
Đội ngũ kỹ thuật của chúng tôi tại Tập đoàn Ruqinba luôn sẵn sàng hỗ trợ tối ưu hóa công thức và hướng dẫn thi công.
Chúng tôi cũng cung cấp các mẫu miễn phí để kiểm tra hiệu suất của bạn.
ĐĂNG KÝ BẢN TIN